• 首页
  • 政务公开
  • 政务服务
  • 互动交流
  • 走进水利
  • 您当前的位置: 重庆市水利局 > 政务公开 > 水利领域基层政务公开 > 农村水利水电> 农村供水工程

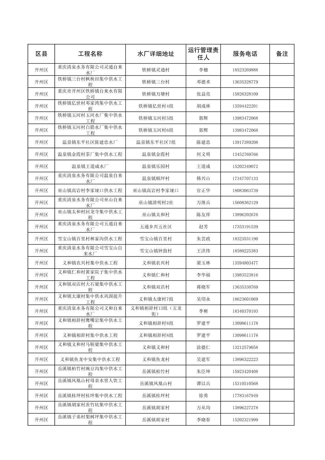
    重庆市千人以上农村供水工程运行管理责任人及服务电话

    日期:2025-12-29
    扫一扫在手机打开当前页